上海绎模信息科技有限公司
eMolTech,计算科学的领航者
高斯在化学领域的应用
应用范例一:
软晶体被定义为具有高度有序结构的柔性分子固体,在基于外部触发和环境的分子传感材料中引起了人们的关注。本研究展示了绿色发光 Tb(III) 和黄色发光 Dy(III) 配位中心的软晶体共聚制备发光导电聚合物,即光子分子链,具有显着的长程能量迁移。
高斯软件的作用:
使用Gaussian软件进行几何优化,并基于密度泛函理论计算Dy(III)-Tb(III)双核配合物和Dy(III)-Tb(III)配位聚合物中激发态的能量。
![]()
参考文献:
Preparation of photonic molecular trains via soft-crystal polymerization of lanthanide complexes. Pedro Paulo Ferreira da Rosa, et al. Nat. Commun., 2022, 13: 3660.
应用范例二:
DFT预测锍中间体E / Z选择性引导的酰胺直接对映选择性α-氨基化。
高斯软件的作用:
使用对映体纯亚磺酰胺对酰胺进行直接胺化。它涉及关键锍中间体的[2,3]-σ重排。进一步展示了量子化学计算,如何能够预测洞察这种氨基-乙烯氧基-锍物种的关键E/Z选择性。使用PBE0-D3(BJ)-SMD(CH2Cl2)/def2-TZVP//PBE0-D3(BJ)-SMD(CH2Cl2)/def2-SVP水平的量子化学计算得到吉布斯自由能反应路径。量子化学计算使我们更深入地了解了高效的[1,4]-手性转移途径。
![]()
参考文献:
Direct enantioselective α-amination of amides guided by DFT prediction of E/Z selectivity in a sulfonium intermediate. Minghao Feng, et al. Chem, 2023, 9(6): 1538-1548.
应用范例三:
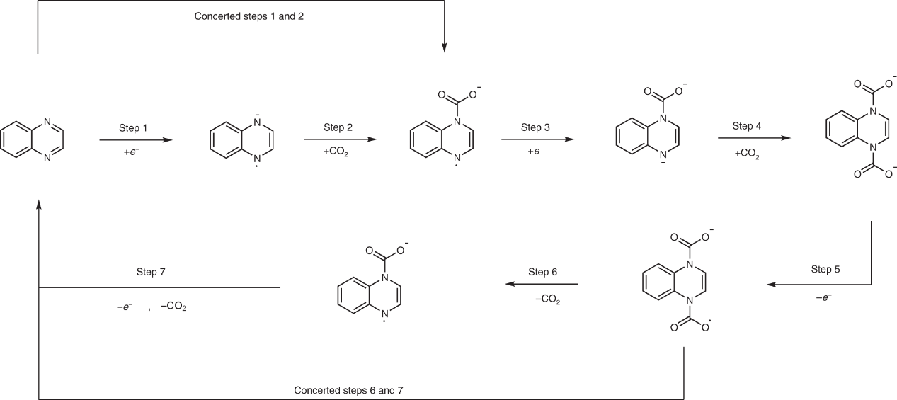
用于电化学二氧化碳捕获的氧化还原可调路易斯碱。
高斯软件的作用:
作者使用Gaussian 16软件计算了氧化还原和CO2络合/解离步骤的电势和CO2结合能,并与实验结果进行比较。通过这些计算,研究人员可以了解每个步骤的稳定性和热力学特性,以及不同步骤之间的关系。此外,DFT还用于解释实验中观察到的电化学现象,如CO2对还原电位的影响以及第二次电子转移的阳极偏移现象。通过这些计算,研究人员可以更好地理解碳捕获和释放的机制,并为设计能源高效的碳捕获和释放过程提供指导。
![]()
参考文献:
Redox-tunable Lewis bases for electrochemical carbon dioxide capture. Xing Li, et al. Nature Energy, 2022, 7(11): 1065-1075.
应用范例四:
电子不足的丁烯内酯:自由基聚合中丙烯酸酯和马来酸酐之间的缺失环节。
高斯软件的作用:
在本文中,DFT计算(Gaussian 16)为这篇文章提供了关键的理论支持和计算数据,帮助揭示了电子不足的丁烯内酯单体在自由基聚合中的重要作用。通过计算一系列单体的HOMO和LUMO能量,以及自由基引发反应的自由能,作者得出了一系列关键结论。首先,电子不足的丁烯内酯单体在自由基聚合中具有较高的反应活性和较强的亲核性。其次,单体的HOMO和LUMO能量可以用来预测单体的反应活性和亲核性。此外,不同单体之间的反应活性和亲核性存在差异,且这些差异可以解释不同单体在聚合反应中的反应速率和产物分布。最后,在自由基聚合反应中,电子不足的丁烯内酯单体可以作为连接丙烯酸酯和马来酸酐的“中间体”,从而扩展了单体的化学空间,为聚合反应提供了更多的可能性。
![]()
![]()
参考文献:
Electron-Poor Butenolides: The Missing Link between Acrylates and Maleic Anhydride in Radical Polymerization. Mathieu L. Lepage, et al. J. Am. Chem. Soc., 2023, DOI: 10.1021/jacs.3c04314
