软件教程
来自我们的高级技术支持专家,精心撰写整理的原创学习教程
原创精选
便捷搜索
快速入门和提高
请使用Email和密码登陆
注册只需要不到一分钟,请填写正确的Email地址以便联系。
来自我们的高级技术支持专家,精心撰写整理的原创学习教程
原创精选
便捷搜索
快速入门和提高
(一)引言:
➢ 在几何结构优化时,我们有时需要固定某些原子以达到研究的某种目的。比如,研究表面化学问题时,常常固定材料基底;使用ONIOM模型时,也会将低层的原子坐标进行固定,等等。本文将介绍如何固定原子坐标。
(二)设置过程:
1. 方法一:笛卡尔坐标前加入“-1”标志
█ 软件版本Gaussian 16, GaussView 6。
█ 以甲烷分子为例,首先绘制一个甲烷分子。然后保存为输入文件,然后使用写字板(或者其它文本编辑器)打开输入文件,显示如下:
█ 如果需要固定某个原子,则在笛卡尔坐标前加入“-1”标志即可。比如,本例假设需要固定的原子为1号C和2号H,则输入文件格式如下图所示:
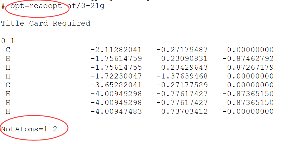
2. 方法二:使用Opt=ReadOpt关键词指定
█ 此关键词意思是读入需要优化的原子,默认是全部优化的。如果需要固定某些原子,则使用NotAtoms参数来指定。例如上例需要固定1号C和2号H,则输入文件为:
█ 用opt=readopt来设置往往比方法一的做法方便得多。关于此关键词更多的用法,可以参考Gaussian官网相关内容:http://gaussian.com/opt/
